8. 附录B¶
案例:
8.1. 森林资源(0101)¶
8.1.1. 森林资源分布(010101)¶
(1)数据源
遥感数据:GF-1/2/6、Landsat-5/7/8/9、Sentinel-2等卫星遥感影像, 以及地形数据SRTM、1:100万植被类型空间分布数据、Global 30 m地表覆盖产品数据集等。
非遥感数据:行政区划数据、各国地理普查数据、森林样地文献出版物、自然资源统计数据等。
(2)整编方法
通过遥感影像对亚欧大陆沿线各国森林分布信息进行提取采用归一化植被指数(NDVI)。 NDVI是反映植被长势和营养信息的重要参数之一,应用于遥感影像,其定义为:

式中,NIR为近红外波段的反射值,R为红光波段的反射值。 结果:-1表示可见光高反射;0表示有岩石 或裸土等, NIR和R近似相等;正值,表示有植被覆盖, 且随覆盖度增大而增大。
8.2. 草地资源(0102)¶
8.2.1. 草地资源分布(010201)¶
(1)数据源
遥感数据:GF-1/2/6、Landsat-5/7/8/9、Sentinel-2等卫星遥感影像,以及Global 30 m地表覆盖产品数据集等。
非遥感数据:行政区划数据、亚欧大陆沿线各国地及草地资源年度变更成果数据库数据材料等。
(2)整编方法
通过遥感影像对亚欧大陆沿线各国草地分布信息进行提取采用归一化植被指数(NDVI)。 NDVI是反映植被长势和营养信息的重要参数之一,应用于遥感影像,其定义为:

式中,NIR为近红外波 段的反射值,R为红光波段的反射值。 结果:-1表示可见光高 反射;0表示有岩石 或裸土等, NIR和R近似相等;正值,表示有植被覆盖, 且随覆盖度增 大而增大。
根据区域不同,采用分区域面对对象分类方法,利用支持向量机进行分类,分类中使用径向基核函数, 在R语言中调用tune.svm函数,设置不同Gamma及Cost参数组合, 通过网格搜索法选择误差最低的参数作为最优参数组合。 通过误差矩阵对图像分类结果进行总体分类精度、用户精度、制图精度和Kappa系数精度验证, 并对分类后结果进行后处理(小斑块处理、统计分析等)。
8.2.2. 草地净初级生产力NPP(010203)¶
(1)数据源
遥感数据:GF-1/2/6、Landsat-5/7/8/9、Sentinel-2等卫星遥感影像, 以及地形数据SRTM、1:100万植被类型空间分布数据、Global 30 m地表覆盖产品数据集等。
非遥感数据:行政区划数据、各国地理普查数据、草地样地文献出版物、自然资源统计数据等。
(2)整编方法
通过遥感影像对亚欧大陆沿线各国草地分布信息进行提取采用归一化植被指数(NDVI)。 NDVI是反映植被长势和营养信息的重要参数之一,应用于遥感影像,其定义为:

式中,NIR为近红外波 段的反射值,R为红光波段的反射值。 结果:-1表示可见光高反射; 0表示有岩石 或裸土等, NIR和R近似相等;正值,表示有植被覆盖, 且随覆盖度增大而增大。
根据区域不同,采用分区域面对对象分类方法,利用支持向量机进行分类,分类中使用径向基核函数, 在R语言中调用tune.svm函数,设置不同Gamma及Cost参数组合,通过网格搜索法选择误差最低的参数作为最优参数组合。 通过误差矩阵对图像分类结果进行总体分类精度、用户精度、制图精度和Kappa系数精度验证, 并对分类后结果进行后处理(小斑块处理、统计分析等)。
总初级生产力(GPP),单位时间和单位面积上,绿色植物通过光合作用所产生的全部有机物同化量。 净初级生产力(NPP),光合作用所产生的有机质总量中扣除自养呼吸后的剩余部分,即:

式中,Rα表示绿色植物自养呼吸的消耗量。
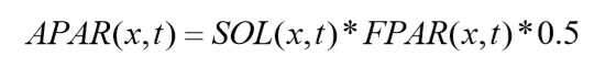
采用CASA模型中所估算的草地净初级生产力NPP可以由植物吸收的光合有效辐射(APAR) 和实际光能利用率 (ε) 两个因子来表示。

式中,APAR(x, t)表示像元x在t月份吸收的光合有效辐射,单位MJ/m2/月,ε(x, t)表示像元x在t月份的实际光能利用率,单位Gc/MJ。
利用遥感数据估算光合有效辐射(PAR)中被植物叶子吸收的部分(APAR)是根据植被对红外和近红外波段的反射特征实现的。

式中,SOL(x, t)表示t月份在像元x处的太阳总辐射量(MJ/m2/月);FPAR(x, t)为植被层对入射光合有效辐射的吸收比例无单位);常数 0.5 表示植被所能利用的太阳有效辐射(波长0.38~0.71µm)占太阳总辐射的比例。
8.3. 耕地资源(0103)¶
8.3.1. 耕地资源分布(010301)¶
(1)数据源
遥感数据:GF-1/2/6、Landsat-5/7/8/9、Sentinel-2等卫星遥感影像,以及0.6 m分辨率的Google Earth 19级产品等。
非遥感数据:行政区划数据、亚欧大陆沿线各国耕地资源分布《统计年报》, 对各国耕地资源分布和作物种植进行调研收集数据等。
(2)整编方法
① 对收集到的数据进行清洗和去重,确保数据的准确性和完整性;
② 利用光谱信息构建决策树分别提取多时相Landsat-5/7/8/9等影像耕地资源分布的初步区域, 确定耕地面积、地理位置、土地类型等信息;
③ 基于高分Google影像,采用D-LinkNet深度学习模型,分割、提取耕地资源矢量边界数据;
④ 利用GIS软件将数据进行表达,绘制耕地资源分布图,结合《统计年报》和实地调研数据, 统计分析每一地块单元下的耕地精准区域。
8.3.2. 垦殖指数(010302)¶
(1)数据源
遥感数据:GF-1/2/6、Landsat-5/7/8/9、Sentinel-2等卫星遥感影像等。
非遥感数据:亚欧大陆地形图、分国级行政区划图,自然、社会经济统计资料等。
(2)整编方法
垦殖指数:表示区域农业活动对生态系统的干扰强度,垦殖指数越大, 意味着农业活动对生态系统的干扰越大,系统就越脆弱。计算方法为

式中,I耕为垦殖指数,A耕为区域内耕地面积(hm2), A为区域土地总面积(hm2).
8.4. 水资源(0104)¶
8.4.1. 水资源分布(010401)¶
(1)数据源
遥感数据:GF-1/2/6、Landsat-5/7/8/9、Sentinel-2等卫星遥感影像等。
非遥感数据:亚欧大陆各国水文站点资料等。
(2)整编方法
通过遥感影像对水体信息进行提取采用归一化水体指数(NDWI)。NDWI原理是应用波段间比值来进行分类, 具有与植被区分度高、归一化等特点,是当前适用性最好的水体指数法。NDWI定义为:

式中:Green为绿波段;NIR为近红外波段。在Landsat 8 OLI影像中,绿波段、近红外波段分别对应3波段和6波段。
8.4.2. 水压力指数(010404)¶
(1)数据源
遥感数据:GF-1/2/6、Landsat-5/7/8/9、Sentinel-2等卫星遥感影像等。
非遥感数据:亚欧大陆沿线各国分省级行政区2013~2023年的水资源总量与用水量序列, 全国水资源二级区、地市级行政区水资源总量与用水量序列,数据序列来自各国《水资源公报》、 各国《统计年鉴》及各省级行政区水资源公报等。
(2)整编方法
水压力指数(water stress indicator,WSI)定义为用水量与水资源总量之比,其公式为:

式中,WSI为水压力指数;S为评价区的用水量;W为评价区内水资源总量。
用水量按用户特性分为生活用水、工业用水、农业用水和生态环境补水四大类。根据《水资源公报编制规程》(GB/T 23598-2009),水资源总量指评价区内当地降水形成的地表和地下产水总量。
当指数小于0.1时,表示无水资源压力;当指数为0.1~0.2时,表示水资源压力较小, 区域发展暂时不受水资源的制约;当指数为0.2~0.4时,表示受到中等水资源压力; 当指数为0.4~1时,表示水资源较为短缺,区域发展受到水资源制约较大;当指数大于1时, 表示用水量已经超过区域内水资源总量,当地的水资源可持续发展受到严重影响。
8.4.3. 水负载指数(010405)¶
(1)数据源
遥感数据:GF-1/2/6、Landsat-5/7/8/9、Sentinel-2等卫星遥感影像等。
非遥感数据:亚欧大陆沿线各国分省级行政区2013~2023年的水资源总量与用水量序列, 全国水资源二级区、地市级行政区水资源总量与用水量序列, 数据序列来自各国《水资源公报》、各国《统计年鉴》及各省级行政区水资源公报等。
(2)整编方法
水资源负载指数定义为反映区域单位水资源负载的地区人口-经济规模的一个可以横向对比的无量纲值,其计算公式为:

式中:C为水资源负载指数;P为人口数量(×104人); G为GDP国内生产总值(×108元);W为水资源量, (×108m3);K为与降水有关的系数。

式中,R为降水量(mm)。
亚欧大陆沿线各国水资源负载指数分级评价标准见表B.1。
表B.1 水资源负载指数分析评价
级别 |
C值 |
水资源利用程度及开发潜力 |
今后水资源进一步开发评价 |
|---|---|---|---|
Ⅰ |
>10 |
很高,潜力很小 |
艰巨、有条件时需要外流域调水 |
Ⅱ |
5~10 |
高,潜力小 |
开发条件很困难 |
Ⅲ |
2~5 |
中等,潜力较大 |
开发条件中等 |
Ⅳ |
1~2 |
较低,潜力大 |
开发条件较容易 |
Ⅴ |
<1 |
低,潜力很大 |
兴修中小工程,开发容易 |
8.5. 植被(0201)¶
8.5.1. 森林分布(020101)¶
(1)数据源
遥感数据:GF-1/2/6、Landsat-5/7/8/9、Sentinel-2等卫星遥感影像,以及Global 30 m地表覆盖产品数据集等。
非遥感数据:行政区划数据、亚欧大陆沿线各国地及森林资源年度变更成果数据库数据材料等。
(2)整编方法
通过遥感影像对亚欧大陆沿线各国森林分布信息进行提取采用归一化植被指数(NDVI)。 NDVI是反映植被长势和营养信息的重要参数之一,应用于遥感影像,其定义为:

式中,NIR为近红外波 段的反射值,R为红光波段的反射值。 结果:-1表示可见光高反射; 0表示有岩石或裸土等, NIR和R近似相等;正值,表示有植被覆盖, 且随覆盖度增大而增大。
8.5.2. 森林覆盖率(020102)¶
(1)数据源
遥感数据:GF-1/2/6、Landsat-5/7/8/9、Sentinel-2等卫星遥感影像,以及Global 30 m地表覆盖产品数据集等。
非遥感数据:行政区划数据、亚欧大陆沿线各国地及森林资源年度变更成果数据库数据材料等。
(2)整编方法
通过遥感影像对亚欧大陆沿线各国森林分布信息进行提取采用归一化植被指数(NDVI)。 NDVI是反映植被长势和营养信息的重要参数之一,应用于遥感影像,其定义为:

式中,NIR为近红外波段的反射值,R为红光波段的反射值。 结果:-1表示可见光高反射; 0表示有岩石或裸土等, NIR和R近似相等;正值,表示有植被覆盖, 且随覆盖度增大而增大。
森林覆盖率亦称“森林覆被率”。反映拥有森林资源丰富程度的指标。 是指一国或一地区林地面积在土地总面积中所占的比重。计算公式为:

森林覆盖率的大小,是确定国家森林经营和利用方针的重要依据之一。
8.5.3. 灌木地分布(020103)¶
(1)数据源
遥感数据:GF-1/2/6、Landsat-5/7/8/9、Sentinel-2等卫星遥感影像,以及Global 30 m地表覆盖产品数据集等。
非遥感数据:地面调查:样地调查和路线调查2部分。在亚欧大陆沿线国家的部分核心区内, 选择各主要类型灌木林的典型地块,设置100个大小为5m×50m的长方形样地, 调查内容主要包括坐标、海拔、灌木优势种等;除在核心区内进行样地调查外, 对核心区的大部和扩展区的部分地区进行较为详尽的路线调查,共涉及200个调查样点, 调查内容主要包括坐标、海拔和灌木优势种等。
(2)整编方法
通过遥感影像对亚欧大陆沿线各国森林分布信息进行提取采用归一化植被指数(NDVI)。 NDVI是反映植被长势和营养信息的重要参数之一,应用于遥感影像,其定义为:

式中,NIR为近红外波段的反射值,R为红光波段的反射值。 结果:-1表示可见光高反射; 0表示有岩石或裸土等, NIR和R近似相等;正值,表示有植被覆盖, 且随覆盖度增大而增大。
8.5.4. 草地分布(020104)¶
(1)数据源
遥感数据:GF-1/2/6、Landsat-5/7/8/9、Sentinel-2等卫星遥感影像,以及Global 30 m地表覆盖产品数据集等。
非遥感数据:行政区划数据、亚欧大陆沿线各国地及草地资源年度变更成果数据库数据材料等。
(2)整编方法
通过遥感影像对亚欧大陆沿线各国森林分布信息进行提取采用归一化植被指数(NDVI)。 NDVI是反映植被长势和营养信息的重要参数之一,应用于遥感影像,其定义为:

式中,NIR为近红外波段的反射值,R为红光波段的反射值。 结果:-1表示可见光高反射; 0表示有岩石或裸土等, NIR和R近似相等;正值,表示有植被覆盖, 且随覆盖度增大而增大。
8.5.5. 农田分布(020105)¶
(1)数据源GF-1/2/6、Landsat-5/7/8/9、Sentinel-2等卫星遥感影像,以及Global 30 m地表覆盖产品数据集等。
非遥感数据:行政区划数据、亚欧大陆沿线各国农田分布《统计年报》,对各国农田分布和作物种植进行调研收集数据等。
(2)整编方法
① 对收集到的数据进行清洗和去重,确保数据的准确性和完整性;
② 利用光谱信息构建决策树分别提取多时相遥感影像农田分布的初步区域,确定农田面积、地理位置、土地类型等信息;
③ 利用GIS软件将数据进行表达,绘制农田分布图,结合《统计年报》和实地调研数据等, 统计分析每一地块单元下的农田精准区域。
8.6. 湿地和水体(0202)¶
8.6.1. 湿地分布(020201)¶
(1)数据源
遥感数据:GF-1/2/6、Landsat-5/7/8/9、Sentinel-2等卫星遥感影像,以及Global 30 m地表覆盖产品数据集等。
非遥感数据:行政区划数据、亚欧大陆沿线各国湿地分布《统计年报》,对各国湿地分布区域进行调研收集数据, 实地调研要获取200个湿地采样点。
亚欧大陆沿线各国100个气象站2013-2023年的气象数据包括降水量、气温和日照时数等。
(2)整编方法
面向对象方法主要采取多尺度分割(multiresolution segmentation)算法,基于影像对象的光谱、纹理、几何特征对影像进行分割, 使分割后的影像对象内部异质性最小,从而提取到湿地分布信息。
Logistic模型是利用其提取出亚欧大陆沿线各国湿地和非湿地的遥感信息 (如:时相NDVI、降雨量、气温、数字高程模型、坡度等), 作为输入量建立各种变量和土地类型之间的关系模型; 利用Arcgis Python语言建立土地利用概率空间模型,计算得到湿地覆盖的概率大小。
(3)精度评估
结合实地采样点及Google Earth上随机采样点对湿地利用分类结果进行精度评价, 利用混淆矩阵计算出总体精度、Kappa系数、生产者精度以及用户精度。
8.6.2. 水体分布(020202)¶
(1)数据源
遥感数据:GF-1/2/6、Landsat-5/7/8/9、Sentinel-2等卫星遥感影像,以及Global 30 m地表覆盖产品数据集等。
非遥感数据:亚欧大陆各国水文站点资料等。
(2)整编方法
通过遥感影像对水体信息进行提取采用归一化水体指数(NDWI)。NDWI原理是应用波段间比值来进行分类, 具有与植被区分度高、归一化等特点,是当前适用性最好的水体指数法。NDWI定义为:

式中:Green为绿波段;NIR为近红外波段。在Landsat 8 OLI影像中,绿波段、近红外波段分别对应3波段和6波段。
(3)统计验证
分别选取水体和非水体各100个样点为验证样本, 并且运用谷歌地球等高空间分辨率影像转绘部分样点对NDWI水体指数进行精度评价。
8.7. 人工地物(0203)¶
8.7.1. 不透水面分布(020301)¶
(1)数据源
遥感数据:GF-1/2/6、Landsat-5/7/8/9、Sentinel-2等卫星遥感影像,以及Global 30 m地表覆盖产品数据集等。
非遥感数据:亚欧大陆各国行政矢量边界,各国《统计年鉴》、相关研究参考文献等。
(2)整编方法
① 首先,对2个时相的原始遥感影像进行辐射校正、几何纠正、图像配准、图像镶嵌等预处理, 获得研究区域的遥感影像数据;
② 由于水体的光谱特征与低反照率不透水面(沥青、瓦片)光谱特征十分相似,为了避免干扰, 在利用线性光谱分解估算不透水面之前, 采用改进的归一化差异水体指数(MNDWI)将研究区域的影像进行水体掩膜处理。
MNDWI定义为:

式中:Green为绿光波段;MIR为中红外波段。
在Landsat8 OLI影像中,绿光波段、中红外波段分别为3、6波段;与NDWI相比, MNDWI能够有效地抑制裸土和人工建设等方面的影响,故MNDWI对于水体提取效果较好, 尤其在城镇内水体的提取更为适用。
③ 根据实际情况,通过对比Google Earth历年高清影像并结合研究区域的调查结果, 确定一个像元内不透水面比例>50%为不透水面提取阈值,获得基于像元级的不透水面分布结果。
(3)统计验证
精度检验分别选用Google Earth高清卫星地图。利用ArcGIS在研究范围的Landsat影像中随机选取1000个验证样本, 得到分类结果中每个验证样本的不透水面估算面积;对照高清卫星地图, 人工判别并且量测每个验证样本内不透水面的真实面积,获得每个验证样本的不透水面估算的误差面积, 由此算出每个验证样本的正确分类精度。
8.8. 裸地(0204)¶
8.8.1. 裸地分布(020401)¶
(1)数据源
遥感数据:GF-1/2/6、Landsat-5/7/8/9、Sentinel-2等卫星遥感影像,以及Global 30 m地表覆盖产品数据集等。
非遥感数据:亚欧大陆各国水文站点资料等。
(2)整编方法
通过遥感影像对裸地信息进行提取采用归一裸地指数(NDBaI)和归一化土壤指数(NDSI)。 归一化土壤指数(NDSI)和归一化裸地指数(NDBaI)的结合有效地降低了裸地和建筑用地的混淆问题。
归一化裸地指数(NDBaI),定义为:

式中,MIRμm和TIRμm分别表示中红外和热红外波段的反射率。
归一化土壤指数(NDSI)利用土壤在中红外谱段反射率最高,且在该谱段与植被和水体的最易区分等特征, 在中红外和近红外谱段构建,用于裸土信息的提取。该指数之所以可以用来对土壤、裸土信息进行增强处理, 是因为该指数主要利用了裸土在中红外波段反射率最高的特点,将近红外和中红外波段组合在一起, 用来构建归一化指数。归一化土壤指数(NDSI) 计算式为:

式中:MIR为中红外波段的反射率;NIR表示近红外波段反射率。
(3)统计验证
分别选取裸地样本100个为验证样本,并且运用谷歌地球等高空间分辨率影像转绘部分样点对裸地信息提取进行精度评价。
8.9. 苔原(0205)¶
8.9.1. 苔原分布(020501)¶
(1)数据源
遥感数据:GF-1/2/6、Landsat-5/7/8/9、Sentinel-2等卫星遥感影像,以及Global 30 m地表覆盖产品数据集、LiDAR数据等。
非遥感数据:亚欧大陆沿线国家土地调查公开数据等。
(2)整编方法
① 以高分辨率航空遥感影像和冠层高度模型生成苔原过渡带参考数据为基准数据;
② 构建基于Landsat影像和LiDAR数据的随机森林过渡带分类模型,进行苔原分布区域边界提取。
(3)统计验证
分别选取苔原地带样本100个为验证样本, 并且运用谷歌地球等高空间分辨率影像转绘部分样点对苔原信息提取进行精度评价。
8.10. 冰川和永久积雪(0206)¶
8.10.1. 冰川和永久积雪分布(020601)¶
(1)数据源
遥感数据:GF-1/2/6、Landsat-5/7/8/9、Sentinel-2等卫星遥感影像,以及Global 30 m地表覆盖产品数据集等。
非遥感数据:亚欧大陆各国冰川和永久积雪统计资料等。
(2)整编方法
① 对收集到的数据进行清洗和去重,确保数据的准确性和完整性;
② 利用光谱信息构建决策树分别提取多时相遥感影像冰川和永久积雪分布的初步区域, 确定冰川和永久积雪面积、地理位置等信息;
③ 基于高分Google影像,分割、提取冰川和永久积雪分布矢量边界数据;
④ 利用GIS软件将数据进行表达,绘制冰川和永久积雪分布图,结合《统计年报》和实地调研数据等, 统计分析冰川和永久积雪精准区域。
(3)统计验证
运用谷歌地球等高空间分辨率影像转绘部分样点对冰川和永久积雪地信息提取进行精度评价。
8.11. 生境质量(0207)¶
8.11.1. 归一化植被指数NDVI(020701)¶
(1)数据源
遥感数据:GF-1/2/6、Landsat-5/7/8/9、Sentinel-2等卫星遥感影像,以及Global 30 m地表覆盖产品数据集等。
非遥感数据:行政区划数据、各国地理国情普查数据等。
(2)整编方法
通过遥感影像对亚欧大陆沿线各国森林分布信息进行提取采用归一化植被指数(NDVI)。 NDVI是反映植被长势和营养信息的重要参数之一,应用于遥感影像,其定义为:

式中,NIR为近红外波段的反射值,R为红光波段的反射值。 结果:-1表示可见光高反射; 0表示有岩石或裸土等, NIR和R近似相等;正值,表示有植被覆盖, 且随覆盖度增大而增大。
8.11.2. 叶面积指数LAI(020702)¶
(1)数据源
遥感数据:GF-1/2/6、Landsat-5/7/8/9、Sentinel-2等卫星遥感影像,以及Global 30 m地表覆盖产品数据集等。
非遥感数据:行政区划数据、各国地理国情普查数据等。
(2)整编方法
叶面积指数LAI是指单位土地面积上植物叶片总面积占土地面积的倍数。即:叶面积指数=叶片总面积/土地面积。
通过遥感影像对亚欧大陆沿线各国森林分布信息进行提取采用归一化植被指数(NDVI)。 NDVI是反映植被长势和营养信息的重要参数之一,应用于遥感影像,其定义为:

式中,NIR为近红外波段的反射值,R为红光波段的反射值。 结果:-1表示可见光高反射; 0表示有岩石或裸土等, NIR和R近似相等;正值,表示有植被覆盖, 且随覆盖度增大而增大。
8.11.3. 植被覆盖度FVC(020703)¶
(1)数据源
遥感数据:GF-1/2/6、Landsat-5/7/8/9、Sentinel-2等卫星遥感影像,以及Global 30 m地表覆盖产品数据集等。
非遥感数据:行政区划数据、各国地理国情普查数据等。
(2)整编方法
植被覆盖度(FVC)被定义为每个像元中植被(包括叶、茎、枝等)在地面的垂直投影面积占像元总面积的比例。 FVC值大小直接反映了目标区域内植被面积的多少,是生态环境监测的关键指标。FVC的具体整编步骤如下:
① 归一化植被指数(NDVI)计算。采用预处理后的植被遥感数据,计算亚欧大陆沿线各国的归一化植被指数。
② 累计分布概率统计。统计各国NDVI累积分布概率, 一般取累积分布概率为5%左右的NDVI作为完全裸土或无植被覆盖区域的归一化植被指数(NDVIsoil), 取累积分布概率为95%左右的NDVI作为纯植被像元的归一化植被指数(NDVIveg)。
③ 植被覆盖度(FVC)遥感估算。基于遥感的植被覆盖度计算公式如下:

FVC取值范围为[0,1]。当像元NDVI小于NDVIsoil时,该像元FVC<0,取值为0; 当NDVI大于NDVIveg时,该像元FVC>0,取值为1。当NDVI介于两者之间时, 利用像元二分模型计算该像元植被覆盖度,负值表示地面覆盖为云、水、雪等,对可见光高反射; 0表示有岩石或裸土等,近红外波段的反射值NIR和红光波段的反射值R近似相等; 正值表示有植被覆盖,且随覆盖度增大而增大。
8.12. 自然保护地(0209)¶
8.12.1. 自然保护区分布(020901)¶
(1)数据源
遥感数据:GF-1/2/6、Landsat-5/7/8/9、Sentinel-2等卫星遥感影像,以及Global 30 m地表覆盖产品数据集等。
非遥感数据:行政区划数据、各国地理国情普查数据等。
(2)整编方法
① 根据各国自然保护区域特征,对遥感影像进行融合、几何校正、裁剪等处理;
② 采用监督分类和人工目视解译相结合的遥感分类方法,生成各国自然保护区土地利用类型图, 主要土地利用类型有林地、耕地、园地、水域、交通水利用地、城乡建设用地等。
8.13. 气温(0301)¶
8.13.1. 年均气温(030101)¶
(1)数据源
遥感数据:GF-1/2/6、Landsat-5/7/8/9、Sentinel-2等卫星遥感影像、MODIS的陆地地表温度产品、30 m空间分辨率的SRTM DEM高程数据、ASTER GDEM V2.0(分辨率为30 m)数据等。
非遥感数据:各国行政区划数据、亚欧大陆沿线各国地面自动气象站点逐小时气象观测数据等。
(2)整编方法
① 在MOD11A2地表温度合成产品的基础上统计获取亚欧大陆沿线各国的逐年平均LST数据集。
② 对逐年的气温观测/再分析资料进行Kriging插值,形成亚欧大陆各国高气温空间分布数据集。
③ 以各年气温观测/再分析数据作为因变量,数字高程模型高程和陆地地表温度数据作为自变量,建立逐年均气温估算模型。
(3)统计验证
通过比较统计气象站实测气温和估算气温对反演精度进行验证。选取各国地面气象站点监测资料, 利用气温年平均值数据,在点尺度上进行精度验证。
8.13.2. 年积温(030102)¶
(1)数据源
遥感数据:GF-1/2/6、Landsat-5/7/8/9、Sentinel-2等卫星遥感影像、MODIS的陆地地表温度产品、30 m空间分辨率的SRTM DEM高程数据、ASTER GDEM V2.0(分辨率为30 m)数据等。
非遥感数据:各国行政区划数据、亚欧大陆沿线各国地面自动气象站点逐小时气象观测数据等。
(2)整编方法
积温是指某时间段内大于等于某个界线持续期间的每天平均气温总和,有活动积温和有效积温两种。
本规范使用的是≥0℃的年积温,属于活动积温。试验采用偏差法来计算年积温,即求算一年内稳定通过0℃, 起止日期之间≥0℃的日平均气温总和,然后对年积温进行插值。
通过Kriging插值,得到亚欧大陆沿线各国的年积温分布栅格图。
(3)统计验证
通过比较统计气象站实测气温和估算气温对反演精度进行验证。选取各国地面气象站点监测资料, 利用年积温数据,在点尺度上进行精度验证。
8.13.3. 7月均温(030103)¶
(1)数据源
遥感数据:GF-1/2/6、Landsat-5/7/8/9、Sentinel-2等卫星遥感影像、MODIS的陆地地表温度产品、30 m空间分辨率的SRTM DEM高程数据、ASTER GDEM V2.0(分辨率为30 m)数据等。
非遥感数据:各国行政区划数据、亚欧大陆沿线各国地面自动气象站点逐小时气象观测数据等。
(2)整编方法
① 在MOD11A2地表温度合成产品的基础上统计获取亚欧大陆沿线各国的空间分辨率为1km的每年7月平均陆地地表温度数据集。
② 对每年7月的气温观测/再分析资料进行Kriging插值,形成亚欧大陆各国高气温空间分布数据集。
③ 以每年7月气温观测/再分析数据作为因变量,数字高程模型高程和陆地地表温度数据作为自变量, 建立每年7月平均气温估算模型。
(3)统计验证
通过比较统计气象站实测气温和估算气温对反演精度进行验证。选取各国地面气象站点监测资料, 利用每年7月气温平均值数据,在点尺度上进行精度验证。
8.13.4. 1月均温(030104)¶
(1)数据源
遥感数据:GF-1/2/6、Landsat-5/7/8/9、Sentinel-2等卫星遥感影像、MODIS的陆地地表温度产品、30 m空间分辨率的SRTM DEM高程数据、ASTER GDEM V2.0(分辨率为30 m)数据等。
非遥感数据:各国行政区划数据、亚欧大陆沿线各国地面自动气象站点逐小时气象观测数据等。
(2)整编方法
① 在MOD11A2地表温度合成产品的基础上统计获取亚欧大陆沿线各国的空间分辨率为1km的每年1月平均陆地地表温度数据集。
② 对每年1月的气温观测/再分析资料进行Kriging插值,形成亚欧大陆各国高气温空间分布数据集。
③ 以每年1月气温观测/再分析数据作为因变量,数字高程模型高程和陆地地表温度数据作为自变量,建立每年1月平均气温估算GWR模型。
(3)统计验证
通过比较统计气象站实测气温和估算气温对反演精度进行验证。选取各国地面气象站点监测资料, 利用每年1月气温平均值数据,在点尺度上进行精度验证。
8.14. 风力(0302)¶
8.14.1. 月平均风速(030201)¶
(1)数据源
遥感数据:GF-1/2/6、Landsat-5/7/8/9、Sentinel-2等卫星遥感影像、Quik SCAT卫星遥感风场资料等。
非遥感数据:各国行政区划数据、亚欧大陆沿线各国地面测风塔、多年风场观测数据等。
(2)整编方法
① 采集、归纳、整理实测地面风塔的风速数据。
② 对收集到的Landsat 8卫星影像、Quik SCAT卫星遥感风场数据进行预处理。
③ 结合实测点位风速进行图形风速反演,并进行Kriging插值,形成月平均风速空间分布栅格图。
(3)统计验证
通过比较统计地面测风塔实测风速和估算风速对反演精度进行验证。
8.15. 光照(0303)¶
8.15.1. 年日照时数(030301)¶
(1)数据源
遥感数据:GF-1/2/6、Landsat-5/7/8/9、Sentinel-2等卫星遥感影像等。
非遥感数据:各国行政区划数据、研究区辐射站日照数据等。
(2)整编方法
① 搜集、归纳、整理研究区辐射站日照观测资料。
② 对研究区年日照时间变化特点以及影响因子进行分析,以季节为单位,3-5月为春季,6-8月为夏季, 9-11月为秋季,12月-次年2月为冬季。
③ 以多年的观测数据进行线性拟合,以年份为自变量,年日照时数为因变量。
④ 将研究区不同区域的年日照时间数进行空间Kriging插值,形成年日照时间分布数据集。
8.15.2. 太阳辐射(030302)¶
(1)数据源
遥感数据:NOAA_AVHRR卫星产品,风云四号气象卫星(FY-4A),风云二号气象卫星(FY-2C), 世界气候研究计划/全球能量与水循环实验(NASA-WCRP)发布的地表辐射收支GEWEX-SRB数据产品, NASA世界能源预测(NASA/POWER)数据等。
非遥感数据:各国行政区划数据、研究区辐射站太阳辐射各月总辐射与日照时数资料等。
(2)整编方法
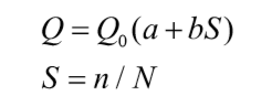
① 国家标准《太阳能资源评估方法》(GB/T 37526-2019)计算和评估到达地面的太阳总辐射量。
② 月太阳总辐射量的计算公式:

式中,Q为月太阳总辐射量(MJ/m2); Q0为月天文太阳总辐射量(MJ/m2); 即大气层顶接收到的太阳辐射,是纬度和季节的函数,通过理论计算即可确定; n为日照时数;N为可照时数;S为月日照百分率, 其变化受到海拔、云量、水汽、大气成分和气溶胶等影响;a、b为经验系数。
③ 以研究区内观测站的各月总辐射与日照时数资料数据进行线性拟合,采用最小二乘的方法拟合出各站各月的经验系数 a、b,分别建立各辐射站逐月总辐射计算式。
④ 将研究区不同区域的逐月总辐射数进行空间Kriging插值,形成逐月总辐射分布数据集。
⑤ 依据《太阳能资源评估方法》(GB/T 37526-2019)评估标准,将年太阳总辐射分为4类。其阈值为:QY≥6300 MJ/m2为资源最丰富;5040MJ/m2≤QY<6300 MJ/m2为资源很丰富;3780MJ/m2≤QY<5040 MJ/m2为资源丰富;QY<3780 MJ/m2为资源一般。
⑥ 地表净辐射也称地表辐射平衡,即到达地表的长波辐射和短波辐射收支相互抵消后所得的净收入净支出能量, 是大气运动的主要能量,控制着整个进入大气中能量,影响地气系统的辐射平衡。由以下公式计算:

式中,Rn为净辐射通量,α为地表反照率, Rswd、RLwd分别表示下行太阳短波、长波辐射, ε为地表比辐射率,σ为常数,取值为5.67×10-8W/m2K4, T0为地表温度。
⑦ 将研究区不同区域的地表净辐射数进行空间Kriging插值,形成地表净辐射分布数据集。
8.16. 水分(0304)¶
8.16.1. 降水(030401)¶
(1)数据源
遥感数据:由美国NASA和日本NASDA共同研制热带测雨卫星(TRMM)携带三种主要降水探测仪器, 包括微波成像仪(TMI)、降水雷达(PR)、可见光和红外扫描仪(VIRS)另外还搭载了闪电成像仪(LIS)与 云和地球系统探测器(CERES)等。
非遥感数据:各国行政区划数据、亚欧大陆各国气象站观测降水量与对应日期数据等。
(2)整编方法
① 搜集、归纳、整理亚欧大陆各国气象站降水观测资料。
② 以多种方法搜集的多年观测数据进行线性拟合,以年份为自变量,年降水量为因变量。
③ 将研究区不同区域的年降水量进行空间Kriging插值,形成年降水量分布数据集。
8.16.2. 蒸散发(030402)¶
(1)数据源
遥感数据:GF-1/2/6、Landsat-5/7/8/9、Sentinel-2等卫星遥感影像、MODIS卫星数据等。
非遥感数据:各国行政区划数据、监测站气象数据等。
(2)整编方法
① 蒸发比是实际蒸散发与可用通量的比值,当确定净辐射通量(Rn)、土壤热通量(G0)、感热通量(H)后, 由能量平衡方程可知,潜热通量等于净辐射通量减去土壤热通量再减去感热通量。在一天之内,随着昼夜交替, 地表通量的变化较大,但是蒸发比的变化并不明显,由此可计算卫星过境时的瞬间蒸发比,计算公式如下:

② 同一天的蒸发比可近似认为是确定不变的,之后计算出卫星过境瞬时蒸散发。 需提前计算地表温度、地表比辐射率、地表反照率、归一化植被指数、植被覆盖度等还需结合数字高程模型, 以上变量由规范上文中计算可得。
③ 将瞬时蒸散发扩展到日尺度或月尺度,之后可扩展到研究区空间尺度,形成蒸散发分布数据集。
8.17. 水环境(0305)¶
8.17.1. 湖泊透明度(030501)¶
(1)数据源
遥感数据:GF-1/2/6、Landsat-5/7/8/9、Sentinel-2等卫星遥感影像等。
非遥感数据:各国行政区划数据等。
(2)整编方法
① 搜集覆盖研究区光学卫星数据,统计每个像元蓝色波段与红色波段发射率。
② 选取湖泊透明度的经验公式计算:

式中,WT为水体透明度,B2蓝色波段与B4红色波段发射率
8.18. 大气环境(0306)¶
8.18.1. 气溶胶光学厚度(AOD)(030601)¶
(1)数据源
遥感数据:GF-1/2/6、Landsat-5/7/8/9、Sentinel-2等卫星遥感影像FY-3 A/B、MODIS、FY-4、葵花八号卫星数据等。
非遥感数据:各国行政区划数据、监测站气象数据、NASA发布多角度大气校正算法(MAIAC)第6版产品、 全球气溶胶自动观测网络(AERONET)等。
(2)整编方法
① MODIS产品提供3种AOD观测反演算法,分别为:暗目标,深蓝及暗目标与深蓝结合算法。 暗目标算法适用于植被表面,深蓝算法适用于陆地面AOD反演, 暗目标与深蓝结合算法根据归一化植被指数结合暗目标与深蓝算法进行AOD反演。
② 验证方法主要可以借助法国CEMEL公司生产的CE318太阳光度计,通过获取太阳直射光和天空漫反射光来反演AOD。
③ 同时可以下载NASA提供的470nm和550nm通道1km空间分辨率的AOD数据进行验证, 或全球气溶胶自动观测网络(AERONET)为气溶胶特性的研究和卫星气溶胶产品的验证提供长期观测数据, 可取其数据集进行验证。
8.19. 土壤(0307)¶
8.19.1. 土壤有机质(SOM)(030701)¶
(1)数据源
遥感数据:GF-1/2/6、Landsat-5/7/8/9、Sentinel-2等卫星遥感影像、珠海一号等。
非遥感数据:各国行政区划数据、监测站数据、采样化验数据等。
(2)整编方法
① 多光谱遥感法主要建立影像多光谱反射率或指数与SOM的关系模型,进行SOM的预测与制图,可以分为直接法和间接法。 直接法是直接建立遥感影像波段地表反射率和地面样点实测SOM含量的关系模型,估算SOM含量与制图。 间接法是利用植被指数等遥感光谱指标与地面实测点SOM构建模型,间接估算SOM含量与制图。 间接法常用的指标包括:归一化植被指数(NDVI)、归一化土壤指数(NDSI)、增强植被指数(EVI)、 土壤调节指标指数(SAVI)、比值土壤指数(RSI)。
② 结合遥感数据的土壤有机质预测性制图提高了传统土壤景观建模制图方法的精度, 是大尺度范围或复杂地形地区SOM制图的有效方法。高光谱遥感光谱波段可达几十至上千,光谱分辨率较高, 可以反映土壤表层属性细微差异。进行高光谱影像内各波段建模,采用直接法与间接法, 探索模型和地面样点实测SOM含量的关系。
③ 将反演的模型在选定研究区进行采样,并化验。将采样点化验数据进行空间克里金插值, 将空间分辨率设置与卫星影像空间分辨率相同验证构建模型的精度。
8.19.2. 土壤pH(030702)¶
(1)数据源
遥感数据:GF-1/2/6、Landsat-5/7/8/9、Sentinel-2等卫星遥感影像、珠海一号等。
非遥感数据:各国行政区划数据、监测站数据、采样化验数据等。
(2)整编方法
① 多光谱遥感法主要建立影像多光谱反射率或指数与土壤pH的关系模型,进行土壤pH预测与制图, 可以分为直接法和间接法。直接法是直接建立遥感影像波段地表反射率和地面样点实测土壤pH的关系模型, 估算土壤pH与制图。间接法是利用植被指数等遥感光谱指标与地面实测点土壤pH构建模型, 间接估算土壤pH与制图。间接法常用的指标包括:归一化植被指数(NDVI)、归一化土壤指数(NDSI)、 增强植被指数(EVI)、土壤调节指标指数(SAVI)、比值土壤指数(RSI)。
② 结合遥感数据的土壤有机质预测性制图提高了传统土壤景观建模制图方法的精度, 是大尺度范围或复杂地形地区土壤pH制图的有效方法。高光谱遥感光谱波段可达几十至上千, 光谱分辨率较高,可以反映土壤表层属性细微差异。进行高光谱影像内各波段建模, 采用直接法与间接法,探索模型和地面样点实测土壤pH的关系。
③ 将反演的模型在选定研究区进行采样,并化验。将采样点化验数据进行空间克里金插值, 将空间分辨率设置与卫星影像空间分辨率相同验证构建模型的精度。
④ 将土壤pH值划分为4类:酸性(pH≤5.5)、弱酸性(5.5~6.5)、 中性(6.5~7.5)和碱性(pH≥7.5)。土壤pH变化分为 5 个级别:ΔpH≤-1.0为明显酸化,ΔpH 在-1.0~-0.3 为酸化,ΔpH 在-0.3~0.3 为基本不变(自然波动和测量误差范围),ΔpH在0.3~1.0为碱化,ΔpH≥1.0为明显碱化。
8.19.3. 土壤质地(030703)¶
(1)数据源
遥感数据:GF-1/2/6、Landsat-5/7/8/9、Sentinel-2等卫星遥感影像、TerraSAR等。
非遥感数据:各国行政区划数据、监测站数据、采样化验数据等。
(2)整编方法
① 土壤质地影响着土壤持水持肥性和透气性,进而驱动着一系列与土壤有关的物理化学过程, 结合高效快速的遥感技术对土壤质地空间分布进行预测, 对土壤质量评价与农业生产规划具有重要的理论和实践意义。 光谱响应法是指利用土壤颗粒含量和粒径大小与遥感影像光谱反射率的关系, 建立模型或进一步分析来预测土壤质地。利用光谱响应可以快速、可靠地识别土壤质地, 应用近红外(NIRS)和中红外光谱 (MIRS)分析土壤质地研究。
② 雷达在白天黑夜均能探测远距离的目标,且不受天气影响,具有全天候、全天时的特点, 并有一定的穿透能力,通过雷达开展土壤质地的探测。 建立雷达信号的后向散射强度和地表土壤质地的线性模型。
③ 将反演的模型在选定研究区进行采样,并化验。将采样点化验数据进行空间克里金插值, 将空间分辨率设置与卫星影像空间分辨率相同验证构建模型的精度。
8.20. 灾害(0308)¶
8.20.1. 地震灾害分布(030801)¶
(1)数据源
遥感数据:GF-1/2/6、Landsat-5/7/8/9、Sentinel-2等卫星遥感影像、TerraSAR等。
非遥感数据:行政区划数据、灾害监测部门统计数据等。
(2)整编方法
① 地震灾害发生后,常伴随强降雨、滑坡、泥石流等灾害, 首先采用多时相光学卫星遥感影像解译对地震与滑坡分布区域进行探测。对比地震发生前后影像, 圈定地震、滑坡、泥石流等诱发区域。
② 雷达在不受天气影响,具有全天候、全天时的特点,并有一定的穿透能力, 通过雷达对地表形变区域进行解译,不仅确定地震引起的地表水平移动, 也可以确定滑坡等沿倾斜面移动的灾害引起的形变。
③ 将地震灾害前后地表受影响范围进行制图,同时确定历史中各地震灾害影响范围分布, 与灾害监测部门统计数据进行验证。
8.20.2. 森林/草原火灾面积(030802)¶
(1)数据源
遥感数据:GF-1、MODIS、Sentinel-2、Landsat 8、Sentinel-1 A/B、GF-3、TerraSAR等。
非遥感数据:行政区划数据、灾害监测部门统计数据等。
(2)整编方法
① 森林/草原火灾发生后,首先采用多时相光学卫星遥感影像解译对林/草原火灾分布区域进行探测。 对比森林/草原火灾发生前后影像,解译森林/草原火灾传播面积。由于火灾发生伴随高温高热, 通过热红外传感器监测地表温度,可确定森林/草原火灾面积。
② 雷达在不受天气影响,具有全天候、全天时的特点,并有一定的穿透能力, 通过雷达对地表不同地物后向散射强度进行解译,火灾后,地表地物由草地变为灰烬废墟, 不同地物的后向散射强度发生变化,间接确定森林/草原火灾传播面积。
③ 将森林/草原火灾前后地表受影响范围进行制图,同时确定历史中森林/草原火灾影响范围分布, 与灾害监测部门统计数据进行验证。
8.20.3. 洪水灾害历史分布(030803)¶
(1)数据源
遥感数据:GF-1、MODIS、Sentinel-2、Landsat 8、Sentinel-1 A/B、GF-3、TerraSAR等。
非遥感数据:行政区划数据、灾害监测部门统计数据等。
(2)整编方法
① 洪水灾害发生后,首先采用多时相光学卫星遥感影像解译洪水灾害分布区域进行探测。 对比洪水灾害发生前后影像,解译洪水灾害影响面积。由于洪水灾害发生使地表被水淹没, 通过归一化水体指数(NDWI),可确定洪水灾害面积。
② 雷达在不受天气影响,具有全天候、全天时的特点,并有一定的穿透能力, 通过雷达对地表不同地物后向散射强度进行解译,洪水灾害后,地表地物变为水体, 不同地物的后向散射强度发生变化,间接确定洪水灾害影响面积。
③ 将洪水灾害前后地表受影响范围进行制图,同时确定历史中洪水灾害影响范围分布, 与灾害监测部门统计数据进行验证。
8.20.4. 旱灾分布(030804)¶
(1)数据源
遥感数据:GF-1/2/6、Landsat-5/7/8/9、Sentinel-2等卫星遥感影像、TerraSAR等。
非遥感数据:行政区划数据、灾害监测部门统计数据等。
(2)整编方法
① 旱灾发生后,首先采用多时相光学卫星遥感影像解译旱灾分布区域进行探测。 对比旱灾发生前后影像,解译旱灾影响面积。由于旱灾发生使地表从农田植被变为旱地,可确定旱灾面积。
② 雷达在不受天气影响,具有全天候、全天时的特点,并有一定的穿透能力, 通过雷达对地表不同地物后向散射强度进行解译,旱灾发生后,地表地物由农田植被变为旱地, 不同地物的后向散射强度发生变化,间接确定旱灾影响面积。
③ 将旱灾前后地表受影响范围进行制图,同时确定历史中旱灾影响范围分布, 与灾害监测部门统计数据进行验证。
8.20.5. 荒漠化分布(030806)¶
(1)数据源
遥感数据:GF-1/2/6、Landsat-5/7/8/9、Sentinel-2等卫星遥感影像、TerraSAR等。
非遥感数据:行政区划数据、灾害监测部门统计数据等。
(2)整编方法
① 荒漠化发生后,首先采用多时相光学卫星遥感影像解译荒漠化分布区域进行探测。 对比荒漠化发生前后影像,解译荒漠化影响面积。由于旱灾发生使地表从植被变为荒漠,可确定荒漠化面积。
② 雷达在不受天气影响,具有全天候、全天时的特点,并有一定的穿透能力, 通过雷达对地表不同地物后向散射强度进行解译,荒漠化发生后,地表地物由变为荒漠, 不同地物的后向散射强度发生变化,间接确定荒漠化影响面积。
③ 将荒漠化前后地表受影响范围进行制图,同时确定历史中荒漠化影响范围分布, 与灾害监测部门统计数据进行验证。
8.21. 经济总量(0401)¶
8.21.1. GDP(040101)¶
(1)数据源
遥感数据:美国军事气象卫星计划/线性扫描系统(Defense Meteorological Satellite Program/ Operational Linescan System,DMSP/OLS)夜光遥感数据、“珞珈一号”夜光遥感卫星数据、 GF-1/2/6、Landsat-5/7/8/9、Sentinel-2等卫星遥感影像等。
非遥感数据:行政区划数据、GDP报表资料核算数据等。
(2)整编方法
① 基于夜光遥感数据对GDP的空间化处理方法进行研究,研究在目标的空间尺度上, 夜间光照图像与GDP具有线性相关性。
② 对不同行政区进行土地类型分类,确定城市、乡村等人口聚集区域,排除自然地理要素等区域, 建立夜间灯光数据对GDP的线性估算模型,自变量为夜光遥感图像在不同行政区反射率, 因变量为不同行政区GDP值。
③ 将行政区统计报表资料核算的数据进行空间制图,与夜间灯光数据对GDP的线性估算模型进行验证。
8.21.2. 人均GDP(040102)¶
(1)数据源
遥感数据:美国军事气象卫星计划/线性扫描系统(Defense Meteorological Satellite Program/ Operational Linescan System,DMSP/OLS)夜光遥感数据、“珞珈一号”夜光遥感卫星数据、 GF-1/2/6、Landsat-5/7/8/9、Sentinel-2等卫星遥感影像等。
非遥感数据:行政区划数据、GDP报表资料核算数据、人口数量统计数据等。
(2)整编方法
① 基于夜光遥感数据对GDP的空间化处理方法进行研究,研究在目标的空间尺度上, 夜间光照图像与GDP具有线性相关性。
② 对不同行政区内进行土地类型分类,确定城市、乡村等人口聚集区域,排除自然地理要素等区域, 建立夜间灯光数据对GDP的线性估算模型,自变量为夜光遥感图像在不同行政区反射率, 因变量为不同行政区GDP值。之后根据人口数量统计数据,除以各区域平均人口数量得到人均GDP估算模型。
③ 将行政区统计报表资料核算的数据进行空间制图,与夜间灯光数据对人均GDP的线性估算模型进行验证。
8.21.3. 通货膨胀率(040103)¶
(1)数据源
非遥感数据:行政区划数据、亚欧大陆各国通货膨胀率计算报表数据等。
(2)整编方法
① 搜集、归纳、整理亚欧大陆各国分国级行政区通货膨胀率计算报表数据。
② 根据亚欧大陆各国分国级行政区内通货膨胀率计算报表数据,设定分级阈值, 将不同阈值与饼状图、柱状图、气泡图尺寸构成线性关系,或选取色带不同颜色渲染, 表达亚欧大陆各国分国级行政区通货膨胀率。
8.22. 贸易(0402)¶
8.22.1. 出口总额(040201)¶
(1)数据源
非遥感数据:行政区划数据、亚欧大陆各国出口总额计算报表数据等。
(2)整编方法
① 搜集、归纳、整理亚欧大陆各国分国级行政区出口总额计算报表数据。
② 根据亚欧大陆各国分国级行政区内出口总额计算报表数据,设定分级阈值, 将不同阈值与饼状图、柱状图、气泡图尺寸构成线性关系,或选取色带不同颜色渲染, 亚欧大陆各国分国级行政区出口总额。
8.22.2. 进口总额(040202)¶
(1)数据源
非遥感数据:行政区划数据、亚欧大陆各国进口总额计算报表数据等。
(2)整编方法
① 搜集、归纳、整理亚欧大陆各国分国级行政区进口总额计算报表数据。
② 根据亚欧大陆各国分国级行政区内进口总额计算报表数据,设定分级阈值, 将不同阈值与饼状图、柱状图、气泡图尺寸构成线性关系,或选取色带不同颜色渲染, 表达亚欧大陆各国分国级行政区进口总额。
8.23. 投资(0404)¶
8.23.1. 固定资本形成(040402)¶
(1)数据源
非遥感数据:行政区划数据、亚欧大陆各国分省级固定资本形成计算报表数据等。
(2)整编方法
① 搜集、归纳、整理亚欧大陆各国分省级固定资本形成计算报表数据。
② 根据亚欧大陆各国分省级行政区内固定资本形成计算报表数据,设定分级阈值, 将不同阈值与饼状图、柱状图、气泡图尺寸构成线性关系,或选取色带不同颜色渲染, 表达亚欧大陆各国分省级行政区固定资本形成。
8.24. 农业发展(0406)¶
8.24.1. 农业增加值(040601)¶
(1)数据源
非遥感数据:行政区划数据、亚欧大陆各国分省级农业增加值计算报表数据等。
(2)整编方法
① 搜集、归纳、整理亚欧大陆各国分省级农业增加值计算报表数据。
② 根据亚欧大陆各国分省级行政区内农业增加值计算报表数据,设定分级阈值, 将不同阈值与饼状图、柱状图、气泡图尺寸构成线性关系,或选取色带不同颜色渲染, 表达亚欧大陆各国分省级行政区农业增加值。
8.25. 工业发展(0407)¶
8.25.1. 工业增加值(040701)¶
(1)数据源
非遥感数据:行政区划数据、亚欧大陆各国分省级工业增加值计算报表数据等。
(2)整编方法
① 搜集、归纳、整理亚欧大陆各国分省级工业增加值计算报表数据。
② 根据亚欧大陆各国分省级行政区内工业增加值计算报表数据,设定分级阈值, 将不同阈值与饼状图、柱状图、气泡图尺寸构成线性关系,或选取色带不同颜色渲染, 表达亚欧大陆各国分省级行政区工业增加值。
8.26. 服务业发展(0408)¶
8.26.1. 服务业增加值(040801)¶
(1)数据源
非遥感数据:行政区划数据、亚欧大陆各国分省级服务业增加值计算报表数据等。
(2)整编方法
① 搜集、归纳、整理亚欧大陆各国分省级服务业增加值计算报表数据。
② 根据亚欧大陆各国分省级行政区内服务业增加值计算报表数据,设定分级阈值, 将不同阈值与饼状图、柱状图、气泡图尺寸构成线性关系,或选取色带不同颜色渲染, 表达亚欧大陆各国分省级行政区服务业增加值。
8.27. 人口(0501)¶
8.27.1. 人口总量(050101)¶
(1)数据源
非遥感数据:行政区划数据、亚欧大陆各国分省级人口总量计算报表数据等。
(2)整编方法
① 搜集、归纳、整理亚欧大陆各国分省级人口总量计算报表数据。
② 根据亚欧大陆各国分省级行政区内人口总量计算报表数据,设定分级阈值, 将不同阈值与饼状图、柱状图、气泡图尺寸构成线性关系,或选取色带不同颜色渲染, 表达亚欧大陆各国分省级行政区人口总量。
8.27.2. 人口密度(050102)¶
(1)数据源
非遥感数据:行政区划数据、亚欧大陆各国分省级人口密度计算报表数据等。
(2)整编方法
① 搜集、归纳、整理亚欧大陆各国分省级人口密度计算报表数据, 或者统计亚欧大陆各国分省人口总数与各省面积进行亚欧大陆各国分省人口密度计算。
② 根据亚欧大陆各国分省级行政区内人口密度计算报表数据,设定分级阈值, 将不同阈值与饼状图、柱状图、气泡图尺寸构成线性关系,或选取色带不同颜色渲染, 表达亚欧大陆各国分省级行政区人口密度。
8.27.3. 人口增长率(050103)¶
(1)数据源
非遥感数据:行政区划数据、亚欧大陆各国分省级人口增长率计算报表数据等。
(2)整编方法
① 搜集、归纳、整理亚欧大陆各国分省级人口增长率计算报表数据。
② 根据亚欧大陆各国分省级行政区内人口增长率计算报表数据,设定分级阈值, 将不同阈值与饼状图、柱状图、气泡图尺寸构成线性关系,或选取色带不同颜色渲染, 表达亚欧大陆各国分省级行政区人口增长率。
8.27.4. 人口性别比例(050104)¶
(1)数据源
非遥感数据:行政区划数据、亚欧大陆各国分省级人口性别比例计算报表数据等。
(2)整编方法
① 搜集、归纳、整理亚欧大陆各国分省级人口性别比例计算报表数据。
② 根据亚欧大陆各国分省级行政区内人口性别比例计算报表数据,设定分级阈值, 将不同阈值与饼状图、柱状图、气泡图尺寸构成线性关系,或选取色带不同颜色渲染, 表达亚欧大陆各国分省级行政区人口性别比例。
8.28. 文化(0504)¶
8.28.1. 世界文化遗产名录(050401)¶
(1)数据源
非遥感数据:行政区划数据、亚欧大陆各国分国级世界文化遗产名录计算报表数据等。
(2)整编方法
① 搜集、归纳、整理亚欧大陆各国分国级世界文化遗产名录计算报表数据。
② 根据亚欧大陆各国分国级行政区内世界文化遗产名录计算报表数据,设定分级阈值, 将不同阈值与饼状图、柱状图、气泡图尺寸构成线性关系,或选取色带不同颜色渲染, 表达亚欧大陆各国分国级行政区世界文化遗产名录。
8.28.2. 世界文化遗产分布(050402)¶
(1)数据源
遥感数据:GF-1/2/6、Landsat-5/7/8/9、Sentinel-2等卫星遥感影像等。
非遥感数据:行政区划数据、世界文化遗产名录计算报表数据等。
(2)整编方法
① 搜集、归纳、整理亚欧大陆各国分国级世界文化遗产名录计算报表数据。 对不同国家级行政区内进行世界文化遗产名录分布位置坐标确定。
② 根据不同行政区内世界文化遗产名录分布位置,选取定义的世界文化遗产名录文物景点图标, 在真彩色光学遥感影像中进行表达。
8.29. 社会安全(0509)¶
8.29.1. 恐怖主义事件数量(050901)¶
(1)数据源
非遥感数据:行政区划数据、亚欧大陆各国分国级恐怖主义事件数量计算报表数据等。
(2)整编方法
① 搜集、归纳、整理亚欧大陆各国分国级恐怖主义事件数量计算报表数据。
② 根据亚欧大陆各国分国级行政区内恐怖主义事件数量计算报表数据,设定分级阈值, 将不同阈值与饼状图、柱状图、气泡图尺寸构成线性关系,或选取色带不同颜色渲染, 表达亚欧大陆各国分国级行政区恐怖主义事件数量。
8.29.2. 恐怖主义事件死亡人数(050902)¶
(1)数据源
非遥感数据:行政区划数据、亚欧大陆各国分国级恐怖主义事件死亡人数计算报表数据等。
(2)整编方法
① 搜集、归纳、整理亚欧大陆各国分国级恐怖主义事件死亡人数计算报表数据。
② 根据亚欧大陆各国分国级行政区内恐怖主义事件死亡人数计算报表数据,设定分级阈值, 将不同阈值与饼状图、柱状图、气泡图尺寸构成线性关系,或选取色带不同颜色渲染, 表达亚欧大陆各国分国级行政区恐怖主义事件死亡人数。
8.29.3. 恐怖主义事件分布(050903)¶
(1)数据源
遥感数据:GF-1/2/6、Landsat-5/7/8/9、Sentinel-2等卫星遥感影像等。
非遥感数据:行政区划数据、恐怖主义事件分布计算报表数据等。
(2)整编方法
① 搜集、归纳、整理亚欧大陆各国分国级恐怖主义事件分布计算报表数据。 对不同国家级行政区内进行恐怖主义事件分布位置坐标确定。
② 根据不同行政区内恐怖主义事件分布位置,选取定义的恐怖主义事件分布恐怖主义事件图标, 在真彩色光学遥感影像中进行表达。
8.30. 城镇化(0510)¶
8.30.1. 城镇人口数量(051001)¶
(1)数据源
非遥感数据:行政区划数据、亚欧大陆各国分省级城镇人口数量计算报表数据等。
(2)整编方法
① 搜集、归纳、整理亚欧大陆各国分省级城镇人口数量计算报表数据。
② 根据亚欧大陆各国分省级行政区内城镇人口数量计算报表数据,设定分级阈值, 将不同阈值与饼状图、柱状图、气泡图尺寸构成线性关系,或选取色带不同颜色渲染, 表达亚欧大陆各国分省级行政区城镇人口数量。
8.30.2. 乡村人口数量(051002)¶
(1)数据源
非遥感数据:行政区划数据、亚欧大陆各国分省级城镇人口数量计算报表数据等。
(2)整编方法
① 搜集、归纳、整理亚欧大陆各国分省级乡村人口数量计算报表数据。
② 根据亚欧大陆各国分省级行政区内乡村人口数量计算报表数据,设定分级阈值, 将不同阈值与饼状图、柱状图、气泡图尺寸构成线性关系,或选取色带不同颜色渲染, 表达亚欧大陆各国分省级行政区乡村人口数量。
8.30.3. 城镇化率(051003)¶
(1)数据源
非遥感数据:行政区划数据、亚欧大陆各国分省级城镇化率计算报表数据等。
(2)整编方法
① 搜集、归纳、整理亚欧大陆各国分省级城镇化率计算报表数据。
② 根据亚欧大陆各国分省级行政区内城镇化率计算报表数据,设定分级阈值, 将不同阈值与饼状图、柱状图、气泡图尺寸构成线性关系,或选取色带不同颜色渲染, 亚欧大陆各国分省级行政区城镇化率。
8.31. 行政区划(0601)¶
8.31.1. 国家级行政区划(060101)¶
(1)数据源
遥感数据:GF-1/2/6、Landsat-5/7/8/9、Sentinel-2等卫星遥感影像等。
非遥感数据:亚欧大陆各国分国级行政区划数据等。
(2)整编方法
① 搜集、归纳、整理亚欧大陆各国分国级行政区划数据。
② 在同一个图层创建亚欧大陆各国分国级行政区划线矢量数据,线矢量符号选取为国家边界符号, 各国分国级行政区划线矢量内包含中文、英文双语国名。 亚欧大陆各国行政区划线矢量数据属性表中应该包括中文、英文国家名称,国家面积等基础地理信息。
8.31.2. 分省级行政区划(060102)¶
(1)数据源
遥感数据:GF-1/2/6、Landsat-5/7/8/9、Sentinel-2等卫星遥感影像等。
非遥感数据:亚欧大陆各国分省级行政区划数据等。
(2)整编方法
① 搜集、归纳、整理亚欧大陆各国分省级行政区划数据。
② 在同一个图层创建亚欧大陆各国分省级行政区划线矢量数据,线矢量符号选取为城市边界符号, 各国分省级行政区划线矢量内包含中文、英文双语省份名字。 亚欧大陆各国内省份行政区划线矢量数据属性表中应该包括中文、英文国家名称,各省面积等基础地理信息。
8.32. 城市和居民点(0602)¶
8.32.1. 国家首都和主要城市(060201)¶
(1)数据源
遥感数据:GF-1/2/6、Landsat-5/7/8/9、Sentinel-2等卫星遥感影像等。
非遥感数据:亚欧大陆各国首都和主要城市名称与空间分布数据等。
(2)整编方法
① 搜集、归纳、整理亚欧大陆各国首都和主要城市名称与空间部分数据。
② 在同一个图层创建亚欧大陆各国首都点矢量数据,点矢量符号选取为红色双圆,外层圆为空心, 内层圆为实心填充,各国首都应包含中文、英文双语名字。
③ 在同一个图层创建亚欧大陆各国主要城市点矢量数据,点矢量符号选取为黑色双圆,外层圆为空心, 内层圆为空心,各国主要城市应包含中文、英文双语名字。
8.32.2. 城镇居民点(060202)¶
(1)数据源
遥感数据:GF-1/2/6、Landsat-5/7/8/9、Sentinel-2等卫星遥感影像等。
非遥感数据:亚欧大陆各国城镇居民点名称与空间分布数据等。
(2)整编方法
① 搜集、归纳、整理亚欧大陆各国城镇居民点名称与空间分布数据。
② 在同一个图层创建亚欧大陆各国城镇居民点点矢量数据,点矢量符号选取为黑色空心单层圆, 各国城镇居民点应包含中文、英文双语名字。
8.33. 交通道路(0603)¶
8.33.1. 铁路分布(060301)¶
(1)数据源
遥感数据:GF-1/2/6、Landsat-5/7/8/9、Sentinel-2等卫星遥感影像等。
非遥感数据:亚欧大陆各国铁路分布名称与空间分布数据等。
(2)整编方法
① 搜集、归纳、整理亚欧大陆各国铁路分布名称与空间分布数据。
② 在同一个图层创建亚欧大陆各国铁路分布线矢量数据,现存主要铁路线矢量符号选取为双轨铁路符号, 建设中的铁路线矢量符号选取建设中铁路符号,已经废弃铁路线矢量符号选择已废弃铁路符号。 各国主要铁路应在属性表中包含铁路中文、英文双语名字,铁路连接主要城市,建成时间,铁路长度等信息。
8.33.2. 公路分布(060302)¶
(1)数据源
遥感数据:GF-1/2/6、Landsat-5/7/8/9、Sentinel-2等卫星遥感影像等。
非遥感数据:亚欧大陆各国公路分布名称与空间分布数据等。
(2)整编方法
① 搜集、归纳、整理亚欧大陆各国公路分布名称与空间分布数据。
② 在同一个图层创建亚欧大陆各国公路分布线矢量数据,现存主要公路线矢量符号选取为高速公路符号, 建设中的公路线矢量符号选取建设中公路符号,已经废弃公路线矢量符号选择已废弃公路符号。 各国主要公路应在属性表中包含公路中文、英文双语名字,公路连接主要城市,建成时间,公路长度等信息。
8.34. 主要水系(0604)¶
8.34.1. 河流分布(060401)¶
(1)数据源
遥感数据:GF-1/2/6、Landsat-5/7/8/9、Sentinel-2等卫星遥感影像等。
非遥感数据:亚欧大陆河流分布名称与空间分布数据等。
(2)整编方法
① 搜集、归纳、整理亚欧大陆河流分布名称与空间分布数据。
② 在同一个图层创建亚欧大陆河流分布线矢量数据,将线矢量闭合区域转化为面矢量, 河流分布自源头到汇合,以亚欧大陆各河流流域单位,线矢量符号选取为河流符号, 面矢量符号选取为河流符号。亚欧大陆各河流面矢量附加中文、英文双语名称。 在亚欧大陆各河流属性表内包含河流中文、英文双语名称、河流长度、流经国家、汇入河流等信息。
8.34.2. 湖泊分布(060402)¶
(1)数据源
遥感数据:GF-1/2/6、Landsat-5/7/8/9、Sentinel-2等卫星遥感影像等。
非遥感数据:亚欧大陆湖泊分布名称与空间分布数据等。
(2)整编方法
① 搜集、归纳、整理亚欧大陆湖泊分布名称与空间分布数据。
② 在同一个图层创建亚欧大陆湖泊分布线矢量数据,将线矢量闭合区域转化为面矢量, 以亚欧大陆各湖泊流域单位,线矢量符号选取为河流符号,面矢量符号选取为河流符号。 亚欧大陆各湖泊面矢量附加中文、英文双语名称。 在亚欧大陆各湖泊属性表内包含湖泊中文、英文双语名称、湖泊面积、分布国家等信息。
8.35. 地形(0605)¶
8.35.1. DEM/等高线(060501)¶
(1)数据源
遥感数据:地形数据SRTM数字高程模型数据等。
非遥感数据:亚欧大陆各国数字高程模型数据、亚欧大陆各国分国级行政区划数据等。
(2)整编方法
① 搜集、归纳、整理亚欧大陆各国数字高程模型数据, 将亚欧大陆各国边界区域缺失数字高程模型结果补充下载。
② 在同一个图层拼接亚欧大陆数字高程模型栅格数据,以亚欧大陆周边国家边界线, 裁剪多余数字高程模型栅格数据。以30m高程为阈值,对亚欧大陆数字高程模型添加等高线线矢量, 线矢量符号为等高线符号。在每间隔四个等高线确定一个加粗等高线,线矢量符号为加粗等高线符号。 等高线属性表应包括等高线表示高程等信息。
8.36. 植被类型(0606)¶
8.36.1. 植被类型分布(060601)¶
(1)数据源
遥感数据:GF-1/2/6、Landsat-5/7/8/9、Sentinel-2等卫星遥感影像, 地形数据SRTM、1:100万植被类型空间分布数据、Global 30 m地表覆盖产品数据集等。
非遥感数据:行政区划数据、植被类型分布计算报表数据等。
(2)整编方法
① 搜集、归纳、整理亚欧大陆各种植被类型的名称与空间分布数据, 如:阔叶林、针叶林、灌丛和萌生矮林、荒漠和旱生灌丛等林地资源,草原、草甸、草本沼泽等草地资源。
② 在同一个图层拼接亚欧大陆各种林地、草地等植被类型数据, 将亚欧大陆各种林地、草地等植被类型数据勾勒出不同类型边界的线矢量数据, 之后对植被类型边界线矢量数据进行要素转化,在同一个图层上转化为面矢量要素。
8.37. 土壤类型(0607)¶
8.37.1. 土壤类型粉分布(060701)¶
(1)数据源
遥感数据:GF-1/2/6、Landsat-5/7/8/9、Sentinel-2等卫星遥感影像、 地形数据SRTM、1:100万植被类型空间分布数据、Global 30 m地表覆盖产品数据集等。
非遥感数据:行政区划数据、土壤类型分布计算报表数据等。
(2)整编方法
① 搜集、归纳、整理亚欧大陆各种土壤类型的名称与空间分布数据,如:砂质土、黏质土、壤土。
② 在同一个图层拼接亚欧大陆各种土壤类型数据, 将亚欧大陆各种土壤类型数据勾勒出不同类型边界的线矢量数据, 之后对土壤类型边界线矢量数据进行要素转化,在同一个图层上转化为面矢量要素。